331.verify-preorder-serialization-of-a-binary-tree
題目

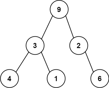
One way to serialize a binary tree is to use preorder traversal. When we encounter a non-null node, we record the node's value. If it is a null node, we record using a sentinel value such as '#'.
For example, the above binary tree can be serialized to the string "9,3,4,#,#,1,#,#,2,#,6,#,#", where '#' represents a null node.
Given a string of comma-separated values preorder, return true if it is a correct preorder traversal serialization of a binary tree.
翻譯
給一個字串,null 用 # 表示,判斷是不是 PreOrder 序列的 Binary Tree。
Example1:
Input: preorder = "9,3,4,#,#,1,#,#,2,#,6,#,#"
Output: trueExample2:
Input: preorder = "1,#"
Output: falseExample3:
Input: preorder = "9,#,#,1"
Output: false思路
一、極限值/特殊狀況
無
二、哪種資料結構解
Tree
三、大概會怎麼解
每個父節點會有兩個子節點
利用 count 計算節點
遇到節點就 -1
遇到非 # 節點就 + 2,代表他會有兩個子節點
最後 count === 0 即為 Binary Tree
型別
/**
* @param {string} preorder
* @return {boolean}
*/解題
var isValidSerialization = function (preorder) {
/*
一個父一定要有兩個子,count === parent * 2 - children
父的數量會是子的兩倍,故:
if node !== null,就 +2
else node === null 就不加
count 最後要等於 0,中途如果 count < 0 就 fasle
*/
const newOrder = preorder.split(",");
let count = 1;
for (item of newOrder) {
if (--count < 0) return false;
if (item !== "#") count += 2;
}
return count === 0;
};Last updated